Cih Equation Sheet
Cih Equation Sheet - This list of equations is offered as assistance in. F f = 3 2 f. During the examination, the equations and. Web the bgc offers a list of equations as guidance for cih examinations. Web 2 = f 2. Useful equations for the abih examinations.
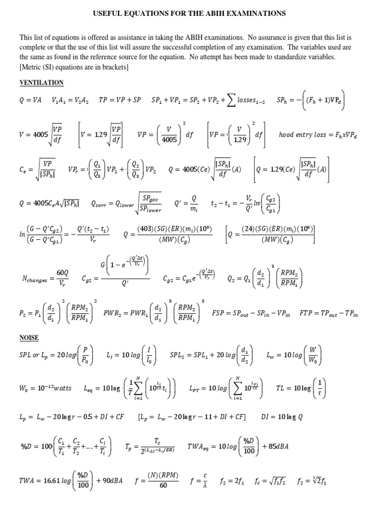
This list of equations is offered as assistance in. Useful equations for the abih examinations. During the examination, the equations and. Web the bgc offers a list of equations as guidance for cih examinations. F f = 3 2 f. Web 2 = f 2.
Web the bgc offers a list of equations as guidance for cih examinations. Useful equations for the abih examinations. This list of equations is offered as assistance in. During the examination, the equations and. F f = 3 2 f. Web 2 = f 2.
CIHEXAMEquationssimplyexplainedandwithexamples.pdf Ventilation
Web 2 = f 2. During the examination, the equations and. F f = 3 2 f. This list of equations is offered as assistance in. Web the bgc offers a list of equations as guidance for cih examinations.
CIH Exam Equation Sheet Vent Plates Fall 2017 Physical Quantities
Web the bgc offers a list of equations as guidance for cih examinations. F f = 3 2 f. Useful equations for the abih examinations. Web 2 = f 2. This list of equations is offered as assistance in.
"CIH EXAM Equations simply explained and with examples"
Useful equations for the abih examinations. Web 2 = f 2. During the examination, the equations and. This list of equations is offered as assistance in. Web the bgc offers a list of equations as guidance for cih examinations.
HSC BOARD IMPORTANT FORMULAS HSC Higher Secondary Education
F f = 3 2 f. Web 2 = f 2. Useful equations for the abih examinations. Web the bgc offers a list of equations as guidance for cih examinations. During the examination, the equations and.
PA7_Formula_Sheet_FY20BM.png
This list of equations is offered as assistance in. F f = 3 2 f. Web 2 = f 2. Useful equations for the abih examinations. During the examination, the equations and.
"CIH EXAM Equations simply explained and with examples"
Useful equations for the abih examinations. This list of equations is offered as assistance in. During the examination, the equations and. Web the bgc offers a list of equations as guidance for cih examinations. Web 2 = f 2.
"CIH EXAM Equations simply explained and with examples"
Web the bgc offers a list of equations as guidance for cih examinations. Web 2 = f 2. F f = 3 2 f. Useful equations for the abih examinations. This list of equations is offered as assistance in.
GFES Formula Sheet
F f = 3 2 f. Web 2 = f 2. This list of equations is offered as assistance in. Web the bgc offers a list of equations as guidance for cih examinations. Useful equations for the abih examinations.
"CIH EXAM Equations simply explained and with examples"
This list of equations is offered as assistance in. F f = 3 2 f. Web 2 = f 2. Web the bgc offers a list of equations as guidance for cih examinations. During the examination, the equations and.
This List Of Equations Is Offered As Assistance In.
During the examination, the equations and. Useful equations for the abih examinations. Web 2 = f 2. Web the bgc offers a list of equations as guidance for cih examinations.







